基于过程数据的Wood-Berry过程控制系统性能评估毕业论文
2020-06-16 06:50:49
摘 要
在目前流程工业中有一种运用十分广泛的先进控制系统----模型预测控制,能在工业过程中实现安全生产,高效生产,优化产品,降低能耗,保护环境,它被企业管理人广泛的运用在化工,冶金,炼油等复杂的工业过程。其一般包括三方面:1.预测模型2.滚动优化3.反馈校正。通过对控制过程的过程数据进行观察,选择一定的标准,来判断控制器处于何种状态。在对控制器的状态有所了解后,持续监控系统,为系统的性能维护工作提供指导,使生产系统在最优的情况下进行工作[2]。本文针对模型失配情况下导致的系统性能变差采用一种新的方法,以Wood-Berry塔作为对象,可在不需要任何的外部扰动和模型信息的情况下利用闭环数据获得模型匹配情况,从而进一步对控制器性能进行监控与评估,并为系统维修与故障排除提供根据[16]。本文对模型预测控制系统的性能及它的基本定理进行描述,然后采用最小方差控制基准来进行控制系统性能评估。最后对预测控制模型失配性能进行研究,从而对系统恶化源进行初步定位。
关键词:模型预测控制 滚动优化 反馈校正 性能评估 模型失配 Wood-Berry塔
Performance Evaluation of Wood - Berry Process Control System Based on Process Data
ABSTRACT
Model predictive control is one of the most popular advanced control strategies in the process industry. It is an important guarantee for enterprises to realize safety, high efficiency, high quality, low consumption and environmental protection. Particularly in the complex process firms, such as chemical industry, metallurgy, oil refining and electric power. Predictive control includes three aspects: 1. Forecasting Model 2.rolling optimization 3.feedback correction. Through the control loop of the operating data to observe, we select a certain performance benchmark to determine the controller in what state. After monitoring the operating status of the controller, the monitoring system continues to provide guidance for the performance maintenance of the system, allowing the production system to work in the optimal situation. In this paper, a new method is proposed for the system performance degradation caused by model mismatch. With the Wood-Berry tower as the object, the model can be obtained by using the closed-loop data without any external disturbance and model information, So as to further monitor and evaluate the performance of the controller, and provide the basis for system maintenance and fault diagnosis. The main contents of this paper include the performance of the model predictive control system and its basic theorem, and then use the minimum variance control criterion to evaluate the performance of the control system. Finally, study the prediction control model mismatch, thus the deterioration of the system source can be initially judged.
Key Words: Model Predictive Control; The Rolling Optimization; Feedback Correction; Performance Evaluation; Model Mismatch; Wood-Berry Tower
目 录
摘要 I
ABSTRACT II
第一章 绪论 1
1.1 课题的研究背景和应用价值 1
1.2 国内外研究状况及分析 2
1.3 论文研究的主要内容 3
第二章 模型预测控制系统的性能评估及方法 4
2.1 模型预测控制 4
2.1.1预测控制的一般描述 4
2.1.2预测控制的基本原理 4
2.1.3基于状态空间模型的预测控制器设计 6
2.2 控制器的性能评估与监控 8
2.3 影响预测控制器的性能因素的分析 10
2.3.1导致模型性能下降的因素 10
2.3.2 单个原因诊断法 11
第三章 预测控制模型失配性能评价 14
3.1 引言 14
3.2 预测控制模型的性能评估方法 14
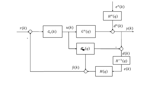
3.2.1反馈扰动的不变性 15
3.2.2预测误差 18
3.3 实验仿真 20
3.3.1过程模型失配仿真 22
3.3.2干扰模型失配仿真 25
3.4 系统故障源初步定位 28
3.5 本章小结 29
第四章 总结与展望 30
4.1 总结 30
4.2 展望 30
参考文献 31
致谢 33
第一章 绪论
1.1课题的研究背景和应用价值
在目前流程工业中有一种运用十分广泛的先进控制系统----模型预测控制,能在工业过程中实现安全生产,高效生产,优化产品,降低能耗,保护环境,它被企业管理人广泛的运用在化工,冶金,炼油等复杂的工业过程。其有以下几点优势:(1)该算法采用基于模型、滚动优化与反馈校正三者相结合的开放式优化控制策略;(2)它的较大优势会在处理多变量过程中含时滞等问题时表现出来;(3)具有隐式解耦能力,可以免除解耦控制、分散控制带来的诸多问题;(4)模型预测控制(简称MPC)具有较好的控制效果和较强的鲁棒性。因为这些特点,使得预测控制成为工业生产中介于基本控制级与优化调度级间非常特殊的一环。
然而,模型预测控制也不是完全是好的,它也有弊端。在实际工业应用中,由于控制器在设计时都是按照工业标准设计的,所以在初始阶段一般有较好的性能。但在系统运行一段时间之后,受各方面因素的影响,其性能会逐渐变差。这将直接产生产品质量、产量以及生产维护成本的增加等一连串的问题,使企业遭受巨大损失。
相关图片展示:







课题毕业论文、开题报告、任务书、外文翻译、程序设计、图纸设计等资料可联系客服协助查找。
