V型偶氮染料分子的合成毕业论文
2020-06-20 19:11:22
摘 要
偶氮染料(在染料分子结构中,凡是含有偶氮基(-N=N-)的统称为偶氮染料)是在纺织品印染工艺中运用最为广泛的一种合成染料,用于多种天然和人造纤维的染色和印花,同样在油漆,塑料,颜料,油墨,食品等方面也运用广泛,偶氮染料的合成和新产品的开发越来越成为国民经济的重要组成部分。
本文对偶氮染料在结构上、应用上进行了分类,并对其在国内外的研究情况做了大致的阐述,探讨了偶氮染料的一些特殊性质,对其染色原理、生物降解、偶氮体和醌腙体等方面作出了说明。本文特别对偶氮染料分子的两种合成方法进行了分析。
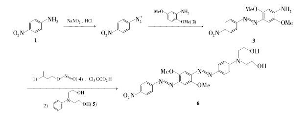
本文将4-硝基苯酚和1,2-二溴乙烷在缚酸剂碳酸钾存在的条件下,反应生成化合物1,N,N-二甲基苯胺和亚硝酸在低温条件下反应生成化合物N,N-二甲基-4-亚硝基苯胺,将1与2--氨基吡啶经过季铵化反应生成化合物2,将化合物2与N,N-二甲基-4-亚硝基苯胺反应生成化合物3a,将3a经铁粉还原分别生成含有偶氮基团和席夫碱特征基团的V型目标客体染料分子4a,最后用核磁共振图谱对目标客体染料分子进行了表征。
关键词:V型偶氮染料,合成,应用
Synthesis of V-azo Dye Molecules
Abstract
Azo dyes (In the dye molecular structure, those containing azo (-N = N-) are collectively referred to as azo dyes) as synthetic dyes are the most widely used in textile printing and dyeing processes for a variety of natural and man-made fiber, in the meantime, also used in the paint, plastics, pigments, inks, food, etc. The synthesis of azo dyes and the development of new products are increasingly becoming an important part of the national economy.
In this paper, classification of azo dye sin structure and application and its research at home and abroad was summarized, some special properties of azo dyes were discussed, the principle of dyeing, biodegradation, tautomerism of azo type and quinone hydrazone type was described. In this paper, two synthetic methods of azo dye molecules were analyzed
In this paper, 4-nitrophenol reacted with 1,2-dibromoethane in the presence of acid addition of potassium to produce compound 1, N, N-dimethylaniline reacted with nitrous acid at low temperature to form compound N, N-dimethyl-4-nitrosoanilinethe compound 2 is formed by quaternization reaction of 1 and 2-aminopyridine, compound 2 is reacted with N, N-dimethyl-4-nitrosoaniline to give compound 3a, the V-type target guest dye molecules 4a containing azo groups and Schiff base functional groups were synthesized by iron reduction of 3a. Finally, the target guest dye molecules were characterized by nuclear magnetic resonance (NMR).
Key words: V-azo dyes, synthesis, application
目录
摘要 I
Abstract II
第一章 文献综述 1
1.1概述 1
1.2偶氮染料的分类 1
1.2.1按结构分类 1
1.2.2按应用分类 2
1.3偶氮染料染色原理及发展前景 2
1.3.1染色原理 2
1.3.2应用前景 3
1.4偶氮染料研究的国内外情况 3
1.5偶氮染料分子的合成 8
1.6偶氮体和醌腙体 9
1.7偶氮染料分子结构与其生物脱色的关系 10
1.8偶氮染料分子参与的组装 11
1.9本课题的研究内容和研究意义 13
1.9.1 研究意义 13
1.9.2研究内容 14
第二章 V型偶氮染料分子的合成及表征 15
2.1 实验部分 15
2.2合成原理 16
2.3 实验内容 17
第三章 实验结果与讨论 19
3.1 结果 19
3.2讨论 21
3.2.1 合成1的反应过程及后处理方法分析 21
3.2.2 合成3a的反应过程分析和线路选择 21
3.2.3合成4a的线路选择和电子转移机理分析 22
第四章 结论与展望 23
4.1结论 23
4.2 展望 23
参考文献 24
致谢 27
第一章 文献综述
1.1概述
偶氮染料(分子结构中含有偶氮基(-N=N-))是染料工业中运用最为广泛的一种合成染料。1859年J,P.格里斯等人发现了第一个重氮化合物并通过努力制备了第一个偶氮染料----苯胺黄[1],由此偶氮化合物的大门被打开,随后,各种偶氮染料分子相继出现。
近年来,染料也运用到一些高端行业,在医学领域方面,染料也经常作为细胞的染色物质,用来标记来阐明蛋白质结构,研究酶的活性等,具有极大的发展前景,在光学方面,通过多光谱的深入研究,得到各种各样的光线,特别是激光技术,荧光技术等。另外,在电学方面,染料作为能量转换媒介或光谱增感作用,绝缘材料的涂层等正日益得到应用,染料不仅能够满足人们日益增长的物质文化生活的需要,而且正在近代科技发展中发挥着极其重要的作用,同时,偶氮染料一直在染料市场占据较大的份额。所以,合成偶氮染料分子始终在有机染料合成行业中占有一席之地。
1.2偶氮染料的分类
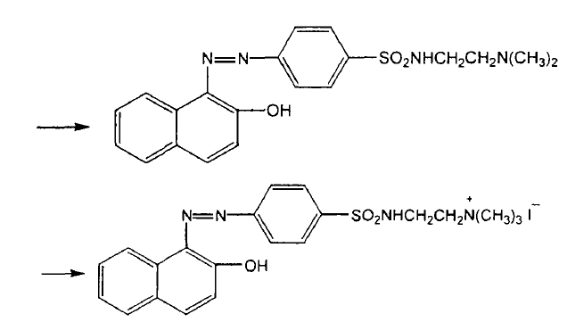
相关图片展示:







课题毕业论文、开题报告、任务书、外文翻译、程序设计、图纸设计等资料可联系客服协助查找。
