黄色阳离子活性染料的制备毕业论文
2020-07-01 20:50:14
摘 要
Abstract II
第一章 文 献 综 述 3
1.1活性染料 3
1.1.1 活性染料概述 3
1.1.2 活性染料的特点 3
1.1.3 活性染料的分类 4
1.1.4 活性染料的染色机理 6
1.1.5 活性染料的合成 7
1.1.6 活性染料的背景和发展现状 7
1.1.7 活性染料的发展前景 8
1.2 阳离子活性染料 8
1.2.1 阳离子活性染料概述 8
1.2.2 阳离子活性染料的分类 9
1.2.3 阳离子活性染料浸染的染色方法 10
1.3本课题设想 11
第二章 实验部分 13
2.1药品和仪器 13
2.1.1药品 13
2.1.2 仪器与设备 14
2.2实验内容 15
2.2.1 实验过程 15
2.2.2 染色工艺 21
第三章 实验结果与讨论 23
3.1 黄色阳离子活性染料的K/S值 23
3.1.1 owf一定时的K/S值 23
3.1.2时间,温度以及上染流程一定时的K/S值 25
3.2紫外光谱 27
3.2.1分散黄的产物结构及紫外光谱 27
3.2.2 1-氨基蒽醌 29
第四章 结 论 30
参考文献 31
致谢 34
黄色阳离子活性染料的合成
摘要
传统活性染料浸染过程需要电解质的存在,这种电解质能降低纤维素纤维表面与活性染料分子之间的电荷排斥力,使得染料分子与纤维更加容易结合,最终促进活性染料染色过程中染料的吸收。然而,高浓度的电解质(100 g⁄l)在染色完成后在污水处理中难以去除,对环境的污染严重。
活性阳离子染料就是在阳离子染料分子中引入活性基团所形成的新型染料,兼有阳离子染料的发色功能和带正电荷(cationic )能力,及活性染料的反应性(reactive)功能. 阳离子活性染料在很大程度上降低了无机盐和碱的用量,工艺简单,为活性染料进一步发展提供了有效途径。
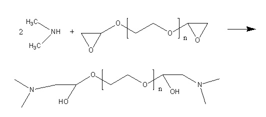
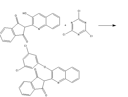
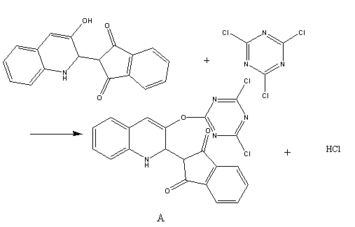
本论文所述黄色阳离子活性染料的制备方法有几种,但方法最简单,产率最高者的制备方法为:选用含氨基蒽醌类化合物作为发色体(如1—氨基蒽醌),与氯乙酰氯反应生成蒽醌氯乙酰铵类化合物;再另用PEG600或PEG1000与三氯均三嗪反应,生成含有二氯均三嗪基聚醚链中间体;再将N,N—二甲基乙二胺滴加到二氯均三嗪基聚醚链中间体中,最后与蒽醌氯乙酰铵类化合物反应生成黄色阳离子活性染料。本论文所说的黄色阳离子活性染料结构简单,制作成本不高,对自然环境污染比较少,反应条件较为温和,产物的收率和纯度较高,适合用于棉织物的无盐染色使用。
关键词:1—氨基蒽醌合成氯乙酰氯三聚氯氰 N,N—二甲基乙二胺三氯均三嗪
Synthesis of yellow cationic reactive dyes
Abstract
Traditional reactive dyes dyeing process requires the presence of electrolytes, the electrolyte can reduce cellulose fibers with reactive dye molecules on the surface of the charge repulsion, facilitates the dye molecules and fiber, finally promote the absorption of dye reactive dyeing process. However, the high concentration of electrolytes (100 g/l) is difficult to remove after dyeing, resulting in serious environmental pollution.
Living cationic dyes is introduced in the cationic dye molecules formed by the reactive group of new dyes, both cationic dye the hair color function and positively charged (cationic), and the reactivity of reactive dyes, reactive function. Cationic reactive dyes to a great extent, reduce the dosage of inorganic salt and alkali process simple, provides a effective way to further development of reactive dyes.
Described in this paper preparation methods of cationic reactive dye yellow as: choose contain amino anthraquinone compounds as hair color (e.g., 1 - amino anthraquinone), reaction with chloroacetic chloride generated anthraquinone acetyl chloride ammonium compounds; In addition, PEG600 or PEG1000 were used to react with trichloromethazine, and the intermediate containing dichloromethyltrigine polyether chain was formed. Then N,N - dimethyl ethylenediamine was added to the intermediate of dichloromethyltrigine polyether chain. This paper said yellow cationic reactive dyes is simple in structure, cheap raw material, less pollution to the environment, the preparation methods mild reaction, high yield and purity of product, suitable for use in salt-free dyeing of cotton fabric.
Key words:1-amino-anthraquinone, synthesis of chloroacetyl chloride melamine N, n-dimethyl ethylenediamine triclotrigazine
文 献 综 述
1.1活性染料
1.1.1活性染料概述
活性染料是上个世纪50年代英国帝国化学工业集团(ICI)推出的一种含有活性基团的新型水溶性染料,经过几十年的发展,活性染料已成为了全球第二大染料。汽巴-嘉基在1978年推出的一种用于棉染色的氟均三嗪活性染料取得了很大的成功,到现在为止活性染料已经成为纤维素纤维印染用的主要染料。
1.1.2活性染料的特点
活性染料自身相对于传统染料而言的诸多优良特点使得它在现代社会染料发展中具有重要地位,其优良特点具体表现在以下方面:
相关图片展示:







课题毕业论文、开题报告、任务书、外文翻译、程序设计、图纸设计等资料可联系客服协助查找。
