基于安卓系统的记事本app开发毕业论文
2020-07-01 20:50:57
摘 要
本文主要描述了一个基于Android开发的记事本应用的开发过程。由于现代社会正快速向信息化趋势发展,越来越多的人们愿意去选择Android智能产品的作为接触社会、了解社会的产品,这也从反方向推动了Android产品的不断发展和进步。由于Android平板电脑、智能手机、智能手表等产品已经在我们生活广泛的使用,而在此之中记事本应用就是Android智能产品的一个必备应用。
本篇文章将依次介绍基于Android开发的记事本应用程序的应用背景,对本次手机操作系统做简略的解释,进而对Android的工作机制、架构、特征、构成做具体的分析,包括Android中自带的SQLite数据库和开源的框架Litepal,从而了解Android系统在手机操作系统方面的优点。本次手机操作系统采用了eclipse作为开发工具,数据库采用SQLite轻量级数据库,在记录存储的主要功能之上增加图文存储方式以及对个人密码信息的保护存储,帮助人们记事和查询到自己日常不经常使用的密码,此外还添加有日历功能和天气查询功能,使这款记事本应用更加便捷、丰富和人性化地提供人们日常生活需要,使记事本应用受到更多人的喜爱和依赖。
关键词:Android;eclipse;SQLite;多功能记事本;
Design and implementation of notepad application based on Android
Abstract
This article mainly describes the development process of an android-based notepad application.Because the modern society is rapid development trend to the informationization, more and more people want to choose Android intelligent product as a society, know the products of social contact, this also from the opposite direction to promote the continuous development of the Android products and progress.As Android tablets, smartphones, smartwatches and other products have been widely used in our life,notepad is an essential application for Android smart products.
This article will introduce the application background of notepad application developed on Android successively, and make a simple explanation of this mobile operating system, and then make a detailed analysis of the working mechanism, architecture, features and composition of Android, showing the advantages of Android system in mobile operating system. The mobile phone operating system USES the eclipse as a development tool, database using SQLite lightweight database, on the main function of the record store increase by storage as well as the protection of personal password information storage, help people can remember and query to their daily often do not use the password, and also add a calendar and weather query function, make the notepad application more convenient, rich and humanization need to provide the People's Daily life, make the notepad application and is loved by more people rely on.
Keyword:Android; Eclipse; SQLite; Multifunctional Notepad;
目录
摘要 I
Abstract II
第一章 绪论 1
1.1 课题研究背景环境 1
1.2 Android操作系统国内外发展现状 1
1.3 Android记事本的发展现状 2
1.4本文主要研究内容 3
第二章 相关技术介绍 4
2.1 Android平台4大优势 4
2.2 Android程序需要的工具 4
2.3 SQLite轻量级数据库 4
2.4 Litepal框架 5
第三章 总体概要设计 6
3.1 需求分析 6
3.1.1功能需求 6
3.1.2性能需求 6
3.2 系统总体流程图 7
3.3 各大模块的操作流程 7
3.3.1 日历及天气模块流程图 7
3.3.2 记事功能流程图 8
3.3.3 左滑功能流程图 9
3.4 UML系统类图 9
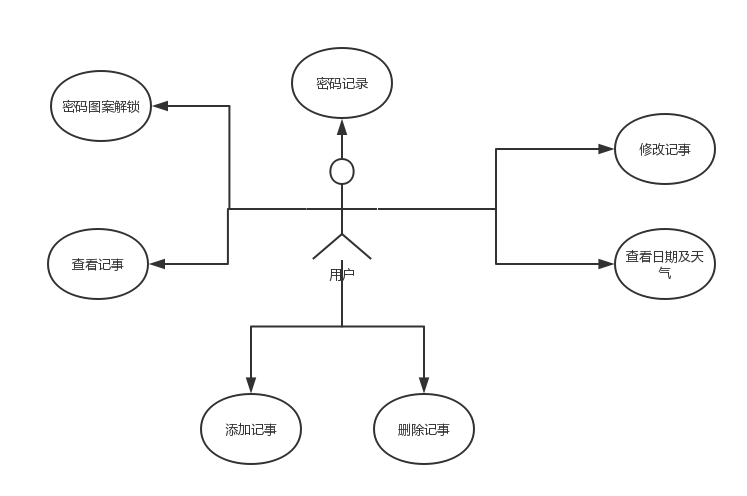
3.4.1 用例图 9
3.4.2 数据库表的设计 10
第四章 详细设计和实现 13
4.1 初始页面布局 13
4.2 日历、提醒 15
4.2.1 日历部分提醒布局 15
4.2.2日历显示部分: 16
4.3.1 记事选择页面 17
4.3.2 记事提醒功能 17
4.4 天气预览模块详细设计 21
4.4.1 天气部分布局 21
4.4.2 获取天气数据 22
4.4.3 遍历城市信息 24
4.4.4 后台自动更新天气 26
4.5 笔记模块详细设计 26
4.5.1普通记事、便签 27
4.5.2私密 35
4.6 左侧侧滑模块详细设计 36
4.6.1 侧滑布局内容体 37
4.6.2当前事件 37
4.6.3天 38
4.6.4周 39
4.6.5设置 40
第五章 总结与展望 42
5.1 总结 42
5.2 展望 42
致谢 43
参考文献 44
第一章 绪论
课题研究背景环境
2014年至今,随着4G网络技术的发展,中国移动互联网络进入的全面发展时期,总体规模实现跃升。移动互联网正在成为我国主动顺应经济新常态、推进经济发展,增效,提质,升级的新驱动力。我们逐渐弱化了对固定电话、银行卡、台式电脑等固定产品的依赖,移动购物、移动支付、移动搜索等领域的蓝海价值正在显现。在不久的将来,移动互联网经济整体规模依然会持续扩展、势头强劲,移动互联网在信息服务、平台服务等范围不断涌现的业态改革将推动移动互联网产业步入服务和应用深化发展阶段。
各式各样的应用程序在这样的互联网背景下涌现,并不断丰富它们的功能。因此功能单一的记事本需要作出一些调整。为了满足人们日渐丰富的生活需求,就需要增加个人记事本的功能,尽力摒弃禁锢发展的局限性,使记事本不再只是最基本最简单的软件,也可以成为人们的依赖和得力助手,进而成为人们日常生活中不可或缺的一份子。现在有各种各样的安卓软件是讲究分享的,例如微信、微博等,但是作为记事本来讲最本职的工作就是记录日常所需,所以本次论文的方向将围绕个人信息存储,记录来保存一些不方便与人共享的内容,使记事本兼有日历、密码本、便签、生活提醒的功能,从这几个方面达到一个多元化的效果。
1.2 Android操作系统国内外发展现状
研究Android技术的人都多多少少会了解一些其发展的历史:Android曾经是一家创立于旧金山的公司的名字,在被Google收购之后走上了快速发展的道路。经由这几年的迅猛成长,它已发展成了一个平台乃至可以称为一个生态系统。如今Android在移动领域已经得到了最普遍的应用。
相比于Symbian的山穷水尽和苹果的对外紧闭、Windows Phone的刚刚起步,Android毫无疑问代表了当前行业发展的主流方向:开源、开放的平台替代了封锁的平台。让参与其中的人均能通过自己的智慧和能力而获得合理的利益。
相关图片展示:







课题毕业论文、开题报告、任务书、外文翻译、程序设计、图纸设计等资料可联系客服协助查找。
