基于APP的宠物交易平台的设计毕业论文
2020-07-02 22:57:29
摘 要
随着人们的生活水平不断提高,养宠物似乎成为了一种普遍的现象,规范的宠物交易平台可以帮人们解决许多盲区,如宠物品种对应的市场价格、养宠所需用品以及精确匹配买卖双方。
本次课题旨在对基于APP宠物交易平台的设计,系统主要使用了Java、MySQL、Bmob和Android Studio等技术平台合开发工具。首先根据需求分析设计了符合课题功能要求的基本框架,利用Activity、Fragment、Listview等技术设置基本的布局。其次采用ViewPage实现首页滑动切换以及用uil图片缓存框架实现多图加载。然后将数据库部署到基于MySQL的Bmob后端云中使用OkHTTP网络请求实现数据的传输。
本次课题设计实现了买卖双方宠物交易的信息沟通与管理,同时实现了交易撮合匹配、养宠社区交流功能、虚拟宠物饲养游戏、挖掘市场价格等基本功能。
关键词:宠物交易 安卓 APP
The Design of Pet Trading Platform Based on APP
Abstract
With the continuous improvement of people's living standards, raising pets seems to have become a common phenomenon. The standardized pet trading platform can help people solve many blind spots, such as the pet market price corresponding to pet species, the need for pet supplies, and the exact matching of buyers and sellers. .
This project aims at the design of APP-based pet trading platform. The system mainly uses technology platforms such as Java, MySQL, Bmob, and Android Studio and development tools. Firstly, according to the requirement analysis, we designed a basic framework that meets the requirements of the topic function, and set basic layouts using technologies such as Activity, Fragment, and Listview. Second, using ViewPage to achieve home slide switch and uil image cache framework to achieve multi-image loading. Then deploy the database to the MySQL-based Bmob backend cloud to use OkHTTP network requests to implement data transfer.
This project is designed to realize the information communication and management of pet transactions between buyers and sellers, as well as basic functions such as matching transactions, fostering community communication, virtual pet breeding games, and excavating market prices.
Keywords: pet trading ;Android ; APP
目录
摘 要 I
Abstract II
第一章 绪论 1
1.1开发意义 2
1.1.1电子商务 2
1.1.2Android系统 2
1.2 Android应用现状 3
第二章 系统需求分析 5
2.1功能需求分析 5
2.1.1前台功能: 5
2.1.2后台管理功能: 5
2.2数据库需求分析 6
2.3开发环境需求 6
第三章 系统概要设计 9
3.1总体功能设计 9
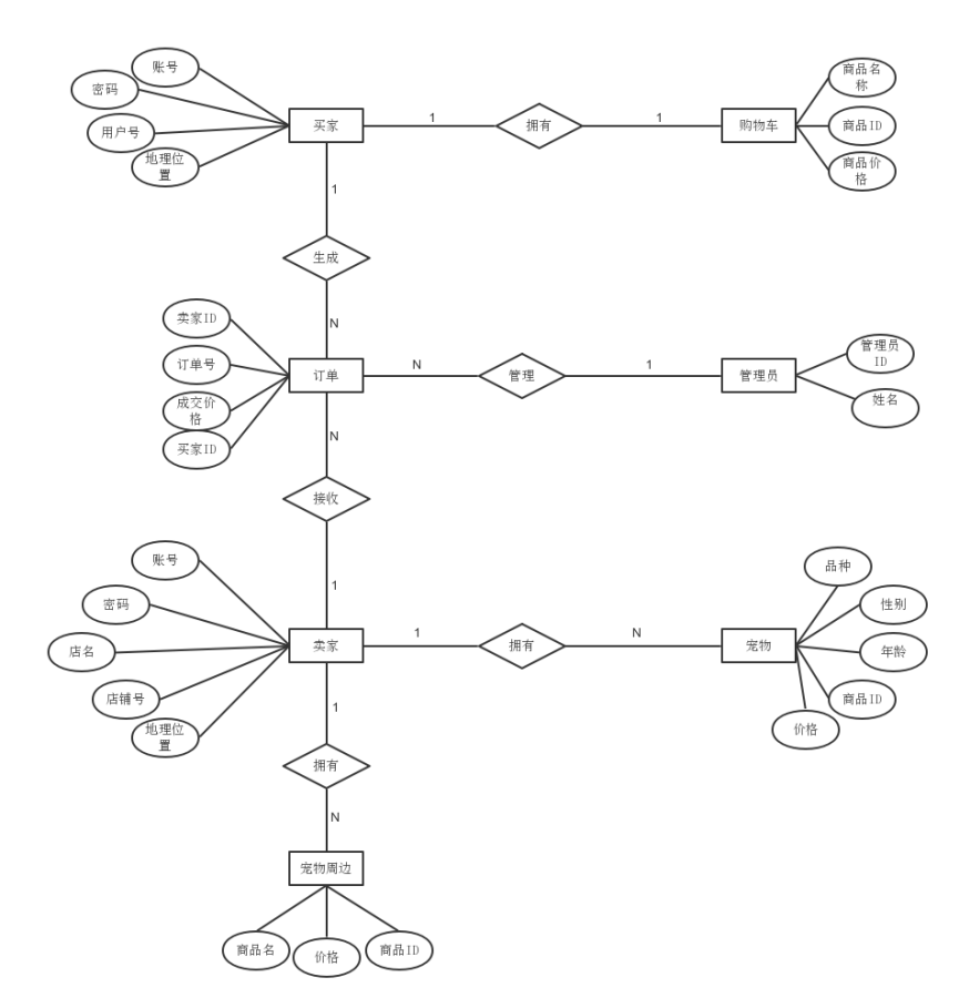
3.2E-R图 10
3.3数据库设计 11
第四章 详细设计 14
4.1总体流程设计 14
4.2 系统逻辑结构设计 15
4.2.1客户端逻辑结构设计 15
4.2.2后台系统逻辑结构设计 17
第五章 系统功能实现 19
5.1前台主要功能的实现 19
5.1.1注册登录 19
5.1.2社区 22
5.1.3商品列表 23
5.1.4个人中心 25
5.2系统管理员中心 28
5.2.1用户信息认证 28
5.2.2论坛管理 29
5.2.3商品管理 29
总 结 30
参考文献 31
致 谢 32
第一章 绪论
随着网络时代的大爆发,Intetnet已经遍布到世界的每一个角落,人们的生活方式也发生改变,网络也渐渐地影响到人们的衣食住行从而衍生出电子商务。在过去一段时间里,人们大多数依赖于电脑上网,如今人们上网主要依赖手机,可见移动终端将会是未来电子商务的主导趋势。电子商务网站过去一直依赖自己的网站。但自淘宝等应用开发以来,传统的电子商务已经进入了移动电子商务领域。人们从一开始的无动于衷,到现在他们热衷于网上购物,生活方式也随之发生了巨大的变化。而除了电子商务网站本身的实力,一个从界面 UI 到用户习惯,以及稳定性都更受用户喜爱的 app 也将会影响人们对于网上购物的兴趣。
随着移动通信,以及手机行业的蓬勃发展,Internet 粉丝逐渐从电脑向移动终端转移。此时塞班以及 Windows 手机系统相对封闭。经过多年的发展,手机制造业的发展以及2G、3G、4G网络的发展已经得到了广泛的认可。通信行业的这般发展,使得移动终端的传输速率大大提升因此,围绕着移动终端,产生了一系列需求服务,相关的应用软件也需求不断。为此 Google 为此于 2007 年推出了 Android。Android 平台由 Linux 和 Java 构成,并且是开源的。由于Android平台的开放性,无论是制造商还是个人都可以在该平台上自由开发,因此在Android平台上有许多创新发现。所以,它在市场上具有很大的发展潜力。
在网络没有普及的时代,人们对宠物市场的认知十分浅薄,最原始的线下对线下的交易方式存在着信息量少及价格虚高的缺陷。进入了网络时代之后,人们多了一条获取宠物市场信息的途径,因此宠物市场的发展变得迅速。随着近年移动设备的快速发展,APP越来越便于人们的生活,使得饲养宠物普及飞快,促进了宠物市场的发展。
开发意义
1.1.1 电子商务
电子商务是指利用网络信息传输技术,在互联网上进行的,旨在以商品交换为目的的活动。
相关图片展示:







课题毕业论文、开题报告、任务书、外文翻译、程序设计、图纸设计等资料可联系客服协助查找。
