三氯生磁性纳米分子印迹材料的制备和表征毕业论文
2020-07-07 21:56:03
摘 要
三氯生是一种目前在日用品中广为使用的广谱抗菌剂,其大量的使用以及难降解的特性导致环境残留,通过食物链影响人类健康。开发特异性快速富集复杂环境介质的三氯生前处理材料对监控其环境浓度有重要意义。因此,本课题基于磁性快速分离原理,选择纳米Fe3O4为吸附介质,通过一系列表面修饰,制备具有从环境介质中特异性吸附及快速提取三氯生的分子印迹材料,并对印迹材料的物理性能进行表征。该材料制备过程对如下条件进行了优化:
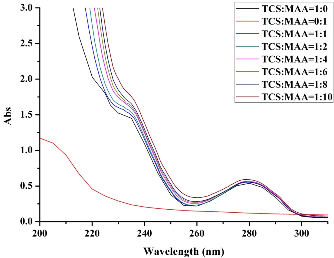
- 功能单体的选择。通过紫外全波长扫描筛选与模板分子三氯生有相互作用的甲基丙烯酸作为功能单体;
- 交联剂种类的选择。通过对吸附能力的表征,选择三羟甲基丙烷三甲基丙烯酸酯(TRIM)为交联剂;
- 投料比的选择。通过对印迹分子(MIP)和非印迹分子(NIP)吸附能力的对比,确定最适投料比为模板分子:功能单体:交联剂=1:4:10(mM)。
进一步对合成材料的物理性能表征,结果发现合成后的MIP具有均匀的核-壳结构和良好的磁性,饱和磁化强度为10emu。结合实验表明,MIP具有高结合和特异性识别能力,以及快速结合动力学和相分离速率。MIP的最大结合能力约为41mg·g-1,是磁性非印迹聚合物(NIP)的近1.4倍。
关键词:三氯生 磁性分子印迹 表面聚合 四氧化三铁
Preparation and Characterization of Triclosan Magnetic Nano Molecular Imprinting Materials
Abstract
Triclosan is a widely used broad-spectrum antibacterial agent currently used in daily necessities. Its large use and hard-to-degrade properties lead to environmental residues and affect human health through the food chain. The development of triclosan pretreatment materials with specific rapid enrichment of complex environmental media is of great significance for monitoring its environmental concentration. Therefore, based on the principle of magnetic rapid separation, this topic selects nano-Fe3O4 as an adsorption medium, and prepares a molecularly imprinted material that specifically adsorbs and rapidly extracts triclosan from environmental media through a series of surface modifications, and the physical properties of the imprinted material. Characterize. The material preparation process was optimized for the following conditions:
1. Selection of functional monomers. The methacrylic acid interacting with the template molecule triclosan was selected as a functional monomer by UV full wavelength scanning.
2. Select the type of cross-linking agent. Through the characterization of adsorption capacity, trimethylolpropane trimethacrylate (TRIM) was selected as cross-linking agent;
3. Selection of feed ratio. By comparing the adsorption capacity of the blotting molecule (MIP) and the non-imprinting molecule (NIP), the optimum charge ratio was determined as the template molecule: functional monomer: cross-linking agent = 1:4:10 (mM).
Further characterization of the physical properties of the synthetic materials revealed that the synthesized MIP had a uniform core-shell structure and good magnetic properties, and its saturation magnetization was 10emu. The binding experiments showed that MIP has high binding and specific recognition capabilities, as well as rapid binding kinetics and phase separation rates. The maximum binding capacity of MIP is approximately 41 mg•g-1, which is nearly 1.4 times that of magnetic non-imprinted polymer (NIP).
Key words: Triclosan;Magnetic molecular imprinting;Surface molecular imprinting;Fe3O4
目 录
摘要…………………………………………………………………………………………… I
ABSTRACT…………………………………………………………………………………… II
第一章 绪论 1
1.1 文献综述 1
1.1.1三氯生的性质、来源及使用现状 1
1.1.2三氯生的毒性及危害 1
1.1.3三氯生的前处理方法 2
1.2分子印迹技术研究进展 2
1.2.1分子印迹技术概论 2
1.2.2分子印迹聚合物(MIPs)的制备方法 3
1.2.3表面分子印迹技术 4
1.2.4分子印迹聚合物的表征 5
1.3选题目的及意义 6
第二章 实验材料及方法 7
2.1试剂 7
2.2主要仪器 8
2.3三氯生磁性分子印迹机理研究 8
2.3.1模板分子与功能单体的相互作用 8
2.3.2磁性印迹聚合物微球的制备 8
2.3.3AIBN的重结晶和TRIM的纯化 9
2.3.4Fe3O4纳米粒子的改性 9
2.3.5包硅Fe3O4纳米粒子的制备(Fe3O4@SiO2) 10
2.3.6双键修饰Fe3O4@SiO2的制备(vinyl-Fe3O4@SiO2) 10
2.3.7三氯生分子印迹和非印迹聚合物的制备 10
2.3.8模板分子的洗脱 10
2.4印迹聚合物的表征 11
2.4.1红外光谱表征 11
2.4.2透射电镜分析 11
2.4.3扫描电镜分析 11
2.4.4磁滞回线分析 11
2.5聚合物吸附性能的考察 11
第三章 结果与讨论 12
3.1模板分子与功能单体的作用 12
3.2三氯生磁性印迹聚合物微球的制备 13
3.2.1 纳米粒子分散性优化 13
3.2.2 包硅四氧化三铁的双键修饰 14
3.2.3 交联剂的选择 15
3.3印迹聚合物的表征 16
3.3.1红外光谱表征 16
3.3.2透射电镜表征 16
3.3.3扫描电镜分析 17
3.3.4磁滞回线分析 18
3.3.5等温吸附 18
全文总结 19
参考文献 20
致 谢 22
第一章 绪论
1.1 文献综述
1.1.1三氯生的性质、来源及使用现状
三氯生(2,4,4三氯2羟基二苯醚,Triclosan,简称:TCS),又名“三氯新”、“三氯沙”等。是一种具有醚类和酚类官能团的氯化芳香化合物。TCS对水的溶解度低,是一种亲脂性化合物,极易溶于乙腈、乙醇、甲苯等有机溶剂中,易被人体吸收。其分子式如图1-1所示。

图1-1 三氯生结构式
Fig.1-1 The structure of Triclosan.
TCS作为一种广谱的抗菌剂广泛应用于肥皂、牙膏、洗手液、化妆品等700多种抗菌日用品[1],其2017年使用量已超过一万吨[2]。然而,由于过量使用、易吸附、难降解[3]以及污水处理不到位等原因,美国、欧洲和我国环境中的三氯生残留被检出,特别是水体环境,这引起了社会的广泛关注[4]。
表1-1 TCS在水体环境中的浓度(ng/L)
样品 | 采样区域 | 国家 | 三氯生浓度 |
河流 | 上海黄浦江 | 中国 | 115.2-150.1 |
珠江 | 中国 | 35-1023 | |
Arkansas河 | 美国 | 4.5-47.3 | |
Tone河 | 日本 | 55-134 | |
湖泊 | 苏黎世湖 | 瑞士 | 2.3-3.1 |
格里芬胡 | 瑞士 | 11-98 |
1.1.2三氯生的毒性及危害
相关图片展示:







课题毕业论文、开题报告、任务书、外文翻译、程序设计、图纸设计等资料可联系客服协助查找。
