液相色谱串联质谱法分析葡萄酒中羰基类化合物毕业论文
2020-04-08 12:45:11
摘 要
醛类物质是葡萄酒的风味物质之一,丰度较低但对葡萄酒口感香气有重要贡献,具有重要的分析检测意义。为了提高检测效率和准确度,在对小分子醛类检测前往往需要进行一些前处理和衍生反应。
高效液相色谱-荧光检测法灵敏度高,检测限较低,但限于醛类物质缺少荧光基团,往往需要与带有荧光基团的物质衍生后才能进行检测。液相色谱-质谱法兼具了高效液相色谱优秀的分离效果和质谱的检测性能,有助于我们分析样品中微量的醛类物质。
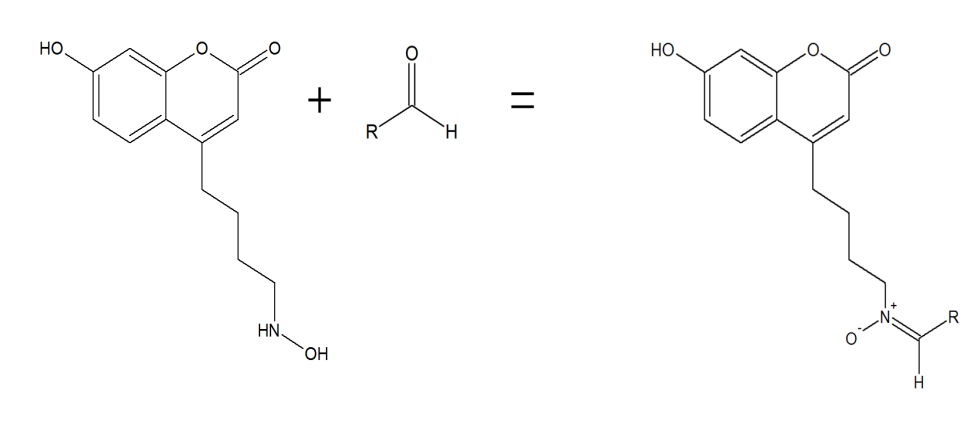
本次论文中,我们利用硝酮化衍生法使用4-羟胺丁基-7-甲氧基香豆素(HAMC)为荧光衍生试剂对葡萄酒中醛类进行了高效液相色谱-荧光检测(High performance liquid chromatography - fluorescence detection,HPLC-FLD)和液相色谱-质谱法(Liquid chromatography - mass spectrometry,LC-MS)检测,对赤霞珠干红葡萄酒样品中的醛类物质进行了高灵敏度、高选择性分析。主要工作内容如下:
- 对红酒样品进行固相萃取(SPE)处理,探索SPE的优化条件,如洗脱剂种类、浓度,淋洗pH值等;
- 在前期研究基础上,优化醛类硝酮化衍生条件,如温度,反应时间和pH等;
- 探索HPLC-FLD和LC-MS对醛类衍生产物的分析条件,分析赤霞珠干红葡萄酒样品中小分子醛类物质。
关键词:醛类物质;固相萃取;高效液相色谱-荧光检测;液相色谱-质谱;4-羟胺丁基-7-甲氧基香豆素
Abstract
Aldehydes are important flavor compounds in wines. Although they exist in low abundances, aldehydes have important contribution to the wine aroma. Recently, the determination of various aldehydes in alcohols have received increasing research attention, various detection methods have been developed, among which, High performance liquid chromatography with fluorescence detection (HPLC-FLD) is one of the most frequently used method, due to its high sensitivity and selectivity. However, most aldehydes have no fluorophores, so they are required to be fluorescently derivatized before HPLC-FLD analysis.
In this study, aldehydes in the wine samples were firstly derivatized by using HAMC as a the fluorescent derivative derivatization reagent based on a novel nitrone formation method, followed HPLC-FLD and liquid chromatography - mass spectrometry (LC-MS) analysis. 7 aldehydes were detected in a cabernet sauvignon dry red wine sample. The major contents of this thesis are listed as follows:
(1) The solid phase extraction conditions of wine samples were optimized, such as the type, the concentration and the pH value of the eluant.
(2) Optimize the derivatization conditions, such as the temperature, the reaction time and the pH value of the buffer.
(3) HPLC-FLD and LC-MS detection of the aldehydes in cabernet sauvignon wine using the proposed method.
Keywords:Aldehydes;Solid Phase Extraction ;High Performance Liquid Chromatography with Fluorescence Detection;Liquid Chromatography-Mass Spectrometry;4-hydroxylaminopropyl-7-methoxylcoumarin
目 录
第1章 绪论 1
1.1引言 1
1.2葡萄酒中醛类化合物概论及检测意义 1
1.3葡萄酒中醛类物质前处理方法 2
1.3.1固相萃取 2
1.3.2固相微萃取 2
1.3.3溶剂萃取 3
1.3.4超临界流体萃取 3
1.4常用醛类化合物分析方法 3
1.4.1紫外可见分光光度法 3
1.4.2气相色谱法 3
1.4.3高效液相色谱法 4
1.4.4结论 7
1.5常用醛类化合物衍生化方法 7
1.5.1肼标记法 7
1.5.2肟化反应 8
1.5.3硝酮化法 8
1.5.4还原氨化 9
1.5.5小结 9
第2章 HAMC与葡萄酒中醛类的衍生及检测 10
2.1引言 10
2.2实验部分 10
2.2.1实验仪器 10
2.2.2实验药剂 10
2.2.3葡萄酒样品SPE固相萃取 11
2.2.4样品与HAMC的衍生 11
2.2.5 色谱分离 11
2.2.6 前体离子扫描模式设置 12
2.3结果与讨论 12
2.3.1 HPLC-FLD检测 12
2.3.2 LC-MS检测 13
2.3.3 SPE固相萃取条件优化 13
2.3.4 衍生反应条件优化 17
2.3.4结论 18
第3章 总结与展望 19
参考文献 20
第1章 绪论
1.1引言
葡萄是目前世界上最具有种植价值和意义的果蔬之一,具有许多优点,诸如在各种环境下的良好适应性,广泛的种植面积以及很高的产量和广泛的应用等,不仅如此,葡萄也是所有水果中最先完成基因组测序的。葡萄酒就是用新鲜的葡萄或葡萄汁经完全或部分发酵酿成的酒精产品,具有令人愉悦的口感,在世界范围内大受欢迎。葡萄酒中依然保留了酿造前葡萄中所蕴含的许多种不同的氨基酸、矿物质以及维生素等多种人必须补充的营养物质,就目前而言,光是已知的葡萄酒中存在的对人体的健康有好处的物质大约就有600种之多。根据医学研究葡萄酒在一定程度上具有独特的保健和营养功效,除了提供一定的人体所需营养物质外,葡萄酒还具有其他保健功效如一定抗氧化抗衰老的作用,可以保护血管,防止动脉硬化,降低胆固醇,适当饮用还可以促进胃液形成,帮助消化。种种原因使得葡萄酒备受人们青睐并成为世界级的酒精饮料。
1.2葡萄酒中醛类化合物概论及检测意义
葡萄酒的主要成分是约百分之八十的水和百分之十几的酒精,但真正决定其口味香气,判断其质量优劣的却是其他超过1000种的低含量物质诸如酸、酚、醛、矿物质等。
葡萄酒所具有的独特口感不得不归因于其含有的丰富风味化合物,目前仅仅仅芳香化合物就已经检测出了460 多种。这些独特的风味化合物主要是来源于好几百种不同化学成分间相互反应所生成的混合物,这些物质会与人的感官相互作用,然后经过大脑传递产生神经反应形成心理感知,这些混合物相互作用和影响,有时表现出协同作用,有时可能是拮抗作用,这些不同的相互作用最终决定了酒的特有香气。决定每种葡萄酒独特复杂香气的原因有许多,首先是酿制选用葡萄的种类,不同种类的葡萄具有不同的特性与香气,这是决定葡萄酒香味的首要原因。其次则是发酵过程的影响,选用不同的酵母菌发酵往往得到不同的风味物质,氧化的过程也有影响,比如通过多酚进行氧化形成的羟基自由基,能够氧化大部分葡萄酒组分,再比如乙醇经过接触氧气氧化生成乙醛,苹果酸经过氧化过程得到丙酮酸[1],所以从某种程度上来说,可以通过测量葡萄酒中醛类物质的含量来判断比较其年份的不同,就如同醛类物质在评价食品新鲜程度上可以成为一项指标一样,比如Stafiej等[2]将薯条在阳光下放置3天,检测己醛含量时发现从0.34 mg/g增长到了0.88 mg/g,同样的方法处理花生3天后,检测到其己醛的含量也有显著提高。另外则是在木桶中进行陈酿时所形成的特定风味物质,这构成了其特有的陈酿香气。醛类物质也是一类风味化合物,在一定浓度下,会产生令人愉悦的香气,但超过一定浓度时会产生刺激性气味,所以醛类物质对葡萄酒口感香气起到了重要的影响作用,对葡萄酒中醛类物质的检测和分析将有助于我们更好的认识和酿造葡萄酒。
民以食为天,食品安全问题向来备受关注,近些年来更是多次成为新闻报道的焦点,比如三聚氰胺、地沟油等,对人体健康产生了巨大的威胁,加强对葡萄酒安全质量的监督就是对人们的身体健康负责。有些醛类物质具有致癌和致畸的危害,属于变态反应源和潜在的突变物,甚至在“有毒化学品优先控制”名单上处于前列位置,比如甲醛对鼻腔、鼻咽、肺都具有致癌的作用,对生殖系统、肾脏等有毒性并有一定的遗传毒性[3]。糠醛也是一种有毒性的化学物,王金山等[4]以老鼠为试验品发现糠醛会引起小鼠精子畸形率的增加,有遗传毒性,并且影响小鼠的智力发育。葡萄酒中的醛类物质除了来源于其酿造加工处理和储存过程中的反应,也可能是生产商家向其中添加的添加剂,鉴于其在酒中的存在,如王婉[5]在地沟油中检测出健康油中不含的几种脂肪醛并可据此将其作为地沟油检测标准一样,我们必须把醛类物质的含量作为葡萄酒质量的评价监督标准之一,建立起高效并准确的葡萄酒醛类物质含量检测分析的方法。
1.3葡萄酒中醛类物质前处理方法
葡萄酒中醛类物质含量低,种类较多,为了保证检测结果的准确性和有效性,往往需要进行前处理。通过前处理,一方面可以对目标化学物进行富集方便后续检测的进行,另外一方面则是可以排除样品中其他物质干扰,消减复杂基质对实验结果的影响。目前使用较多的前处理方法除传统的溶液萃取以外,还有固相萃取、固相微萃取、超临界流体萃取等技术。
1.3.1固相萃取
固相萃取(Solid-Phase Extraction,简称SPE)是近年逐渐发展起来的一种技术,主要用于对检测样品进行预处理。固相萃取技术是由液固萃取和柱液相色谱技术两项技术相结合发展而来的,它主要是为了针对样品的分离、纯化和浓缩,与传统的液液萃取法相比较,固相萃取有明显的优势,比如固相萃取可以有效地提高分析物的回收率,更加高效地将分析物与干扰组分分离,并且可以减少样品预处理过程,具有操作简单、省时、省力的优点,如今已经广泛地应用在医药、食品、环境、化工等诸多领域。SPE固相萃取技术的主要原理是利用固体吸附剂与溶液中的检测物相互作用而对其实现吸附,进而实现待测组分的分离提纯。例如王建凤等[6]在测定牛奶中喹诺酮及磺胺类药物时即先使了用固相萃取法。固相萃取法可以对样品中的微量物质进行富集,如陈雪蕾等[7]在测定食品中6种苏丹染料时,即通过固相萃取后再使用高效液相色谱以得到更准确测量结果。
1.3.2固相微萃取
固相微萃取(solid-phase microextraction,SPME)技术则是基于固相萃取技术进而发展起来的一种微萃取分离技术,是集合采样,萃取,浓缩和进样多种过程于一体的无溶剂样品微萃取新技术。和固相萃取技术相比较而言,固相微萃取具有操作更简单,携带更方便的优点,并且其操作费用也更加低廉;另外固相微萃取技术克服了固相萃取回收率低、吸附剂孔道易堵塞的缺点,因此固相微萃取技术也得到了更加广泛的应用。SPME直接采用顶空方式或浸入方式从样品中萃取会发及半挥发性物质后进行分析。Sha等[8]使用SPME前处理后对牛肉干挥发性成分进行检测时发现醛类物质站检测到的化合物的大部分。检测牛肉中拟除虫菊酯类农药残留限量时使用顶空固相微萃取-气相色谱法,也得到了快速有效的结果[9]。
1.3.3溶剂萃取
溶剂萃取法是目前广泛应用的一种提取方法,可以直接分离萃取得到目标成分。溶剂萃取方法的主要原理就是利用化合物在两种互不相溶或者两种相互微溶的溶剂中溶解度或分配系数的不同,使得目标物质从一种溶剂内转移到另外一种溶剂中。一般经过多次萃取的操作,就能够提取出混合组分中的绝大部分的化合物。目前实验室中较为常用的萃取溶剂主要有甲醇、乙醇、乙醚、丙酮、乙酸乙酯等,有时为了提高效率,也可以加入部分无机盐。如Naik等[10]用己烷为萃取溶剂结合GC-MS法在杏仁的裂解油检测出77种挥发性化合物,其中包括两种醛类物质。
1.3.4超临界流体萃取
超临界流体萃取(supercritical fluid extraction,SFE)就是选择超临界流体作为溶剂,将可溶组分从固体或液体中萃取出来的一种分离操作方法。CO2是安全、无毒、廉价的物质,而且超临界CO2具有类似气体的扩散系数和液体的溶解力,其表面张力为零,具有快速渗透固体中的能力,所以CO2已经成为了目前最为常用的超临界流体。如唐石云等[11]在用超临界流体萃取薰衣草后即得到挥发性物质123种,效果斐然,证明了该方法的高效性。
1.4常用醛类化合物分析方法
目前对醛类物质分析方法众多,除了直接使用分光广度法对醛类本身进行分析外,还可以检测其衍生产物,该方法应用广泛。检测醛类衍生产物时可以用紫外分光光度法,也可以使用色谱进行分离后串联检测器定量分析。
1.4.1紫外可见分光光度法
紫外可见分光光度法(UV-Vis Spectrophotometry)是在一定波长范围即190~800nm范围内测定待测组分的吸光度,结果用于鉴别、杂质检查和定量测定的一种检测方法,紫外可见分光光度法具有诸多优点诸如操作简单,测量速度快等。如江永南等[12]以盐酸羟胺作为缩合剂,使用紫外分光光度法,快速准确地测定了戊二醛的含量,但该方法检出限较高,为2 mg/L。如顾秀杰[13]使用分光光度法检测混合气体中的丙烯醛。
尽管紫外可见分光广度法易操作,检测快,但其检测限较高,不符合醛类物质在实际样品中含量太低的现实。
1.4.2气相色谱法
气相色谱(gas chromatography ,GC)的主要原理就是利用物质的沸点、极性以及吸附性质的差异来实现混合物的分离,气相色谱可以分为气固色谱和气液色谱两种。气固色谱指流动相是气体,固定相是固体物质的色谱分离方法,气液色谱则是指流动相是气体,固定相是液体的色谱分离方法。气相色谱仪有一下几个主要组成部分:气路系统、进样系统、分离系统、温控系统和检测记录系统。在气相色谱工作过程中,样品首先被汽化后由载气带入色谱柱内,由于其保留时间不同,样品中的不同组分就会得到分离并进入检测器得到气相色谱图。张艳艳等[14]使用气相色谱分析红枣中乙醇乙醛的含量,在优化条件下乙醇和乙醛得到了较好的分离,并且得到了良好的线性关系,可用于二者含量的测量。
气相色谱法已经发展得较为成熟,目前可与多种分析仪器联用,如与Fourier红外光色谱(GC-FTIR)联用、与原子光谱(GC-AES)联用、与质谱联用等。如林晓珊等[15]在对样品预处理并探索优化条件后,通过气相色谱-串联质谱法(GC-MS/MS)多反应监测模式(MRM)同时快速准确地测定了调味品中3种糠醛类物质,得到了5 μg/kg的检测限和0.001~20 mg/L区间内的线性关系,这种方法同时具备了色谱的高分离能力和质谱的优秀鉴别性能。
1.4.3高效液相色谱法
高效液相色谱法(High Performance Liquid Chromatography,HPLC)是以经典液相色谱为基础,引入了较为成熟的气相色谱的理论,一般选取液体作为流动相,并且采用高压的输液系统,将不同极性的单一一种溶剂或者各种不同比例的混合溶剂、缓冲液等多种流动相打入装有固定相的色谱柱,在柱子内部各种不同成分会得到分离,进而才会进入检测器进行检测。采用高压输液系统,填料颗粒微小的固定相和种类繁多的高灵敏度检测器,具有分离分析速度快,灵敏度高,操作自动化的优点。如高夫超等[16]就使用高效液相色谱检测了蜂王浆中糠醛物质。
液相色谱的基本原理就是将待分离样品溶于液体流动相后,利用其在固定相中的保留时间不同,在通过固定相时将其分离。根据记载,色谱法和色谱图的最初被人提出可以一直向上追溯到1906年时的俄国著名植物化学家茨维特,他使用石油醚作为洗脱剂分离植物色素,结果观察到向光谱一样不同色素的色带,称为色谱图。后来又经过多年的探索与发展,液相色谱技术不断成熟,应用也越来越广泛。早期人们常用的色谱现在被称为经典液相色谱,就是选用较大直径的玻璃管柱在室温和常压下输送流动相,输送动力就是液面差,但这种方法柱效低、时间长,为了达到理想的实验效果,往往需要将色谱柱做的很长,但在柱内压力较低的情况下分离时间必然会不断延长,效果不能令人满意。上世纪60年代后期,人们在液相色谱的基础上引入了气相色谱的理论发展出了现在更为常见的高效液相色谱法,高效液相色谱选用的填料颗粒小而均匀,选取小颗粒的好处就是同样的高柱效,其缺点则是小颗粒所引起的高阻力,为了解决这样的问题,我们就需用高压输送流动相,所以这种方法又称高压液相色谱法。[17]
高效液相色谱具有高压、高效、高灵敏度和应用范围广、分析速度快等等有点,随着计算机技术的发展,将高效液相色谱连入计算机,其自动化程度也得到了大幅提高,无论使用计算机控制仪器参数和使用,还是保存和处理数据,效率都较之以往大大提升。另外,同一根色谱柱往往可以用于分离不同样品,重复使用而无需更换,降低成本的同时还可以简化操作程序。
高效液相色谱仪由以下几部分组成:“高压输液泵”、“色谱柱”、“进样器”、“检测器”、“馏分收集器”以及“数据获取与处理系统”等。
以上是毕业论文大纲或资料介绍,该课题完整毕业论文、开题报告、任务书、程序设计、图纸设计等资料请添加微信获取,微信号:bysjorg。
相关图片展示:







课题毕业论文、开题报告、任务书、外文翻译、程序设计、图纸设计等资料可联系客服协助查找。
