光伏发电大规模接入对电力系统稳定性的影响毕业论文
2020-04-11 17:56:30
摘 要
自第一盏电灯划亮了时代的黑暗至今,在时代的变迁下,世界早已无法脱离电气这种安全,高效,容易运输的能源。而现在,人们在能源的利用中逐渐面临着新的危机,随着以化石能源为首的旧能源的逐渐枯竭,加之能源污染问题被反复提及,现如今的能源世界里,可再生能源的重要性已近被拔高到无以复加。可以说,谁能掌握住新能源利用的大门,谁就能走在世界的最前列。而光伏发电正是新能源中最为重要的一个板块。因此,任何对光伏发电的研究都具有十分重要的意义。同时,将光伏发电并网运行,能够大大扩张光伏发电使用的范围及灵活性,故目前及以后光伏发电的技术发展主要方向,是将其与大系统互联后并网运行。光伏发电并网系统能否在各种条件下保持稳定,很大程度上决定着整个光伏发电未来的走向。
本文的研究目的在于从多个角度,对国内外有关大规模光伏发电与电力系统交互影响的研究现状和成果进行梳理和综述,分析了光伏发电并网对电力系统电压稳定相关问题,并对光伏发电并网的仿真与结果分析,为后继开展更为深入的研究提供借鉴与参考。
关键词:光伏发电、稳定性、matlab、光伏渗透率、电力系统
Abstract
Since the darkness of the era has been illuminated by the first electric light, the world has long been unable to break away from this safe, efficient and easily transportable energy under the changing times. Nowadays, people are gradually facing new crises in the use of energy. With the depletion of old energy, led by fossil energy, and the repeated mention of energy pollution, in the current energy world, renewable energy is important. Sex has been raised to no more. It can be said that anyone who can master the door of new energy use will be able to walk in the forefront of the world. Photovoltaic power generation is the most important segment of new energy. Therefore, any research on photovoltaic power generation is of great significance. At the same time, the operation of photovoltaic power generation and grid connection can greatly expand the scope and flexibility of photovoltaic power generation. Therefore, the main direction of the current technology development of photovoltaic power generation is to interconnect it with a large-scale system and run it in parallel. Whether photovoltaic grid-connected systems can maintain stability under various conditions largely determines the future direction of the entire photovoltaic power generation.
The purpose of this paper is to review and summarize the research status and achievements of the interaction between large-scale photovoltaic power generation and power systems at home and abroad from multiple perspectives, and provide reference for further in-depth studies.
Keywords: photovoltaic power generation, stability, matlab, photovoltaic penetration, power system
目 录
摘 要 I
Abstract II
目 录 III
第一章 绪论 1
1.1 研究背景与意义 1
1.1.1研究背景 1
1.1.2研究意义 3
1.2国内外光伏发电研究现状 3
1.2.1 国内光伏发电研究现状 3
1.2.2国外光伏发电问题现状 4
1.3 本文主要工作 5
1.3.1研究内容 5
1.3.2研究方法 6
第二章 光伏发电并网系统的工作原理与建模 7
2.1 光伏发电系统并网的工作原理 7
2.2.1独立光伏发电模型 7
2.2.2并网光伏发电模型 7
2.2.3混合光伏发电 9
2.2.4光伏阵列模型 9
2.3 光伏发电仿真模型 11
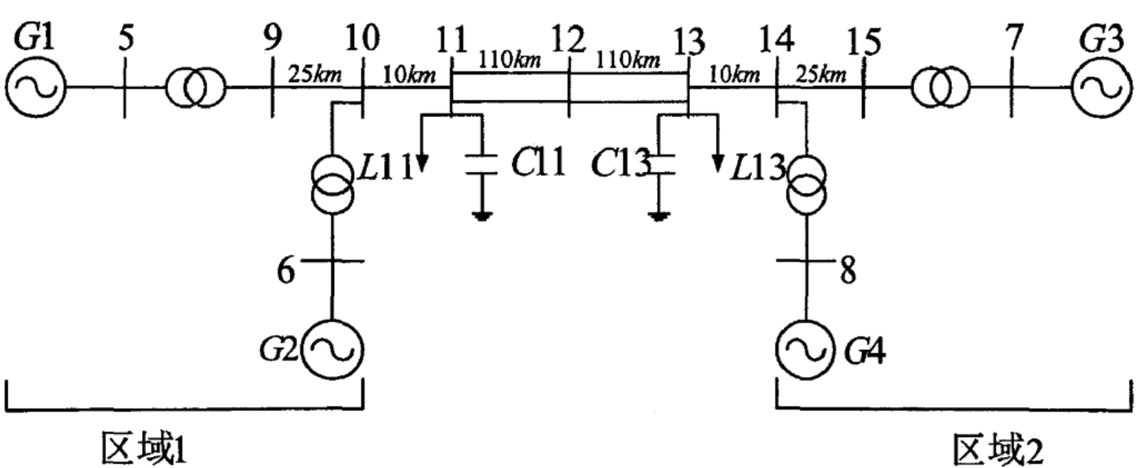
2.3.2四机双区域电网仿真模型 11
2.3.3光伏发电并网系统模型 12
2.4小结 13
第三章 光伏发电并网对电力系统电压稳定相关问题分析 14
3.1 发电机与负荷对电力系统电压稳定性的影响 14
3.1.1发电机对电力系统电压稳定性的影响 14
3.1.2负荷对电力系统电压稳定性的影响 14
3.2 光伏渗透率对电力系统稳定性的影响 15
3.3 光伏发电并网对电力系统在小干扰下的影响 15
3.4 光伏发电并网对电力系统暂态稳定性的影响 16
3.5 小结 17
第四章 光伏发电并网的仿真与结果分析 18
4.1 光伏渗透率对电力系统电压稳定影响 18
4.2 光伏发电并网功角稳定分析 18
4.2.1光伏发电并网静态稳定 19
4.2.2 光伏发电并网暂态稳定 20
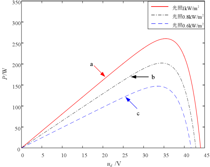
4.2.3 光照强度改变对电力系统稳定性影响 23
4.24 线路长度对光伏并网稳定性的影响 23
4.3 小结 24
第五章 光伏发电并网经济性问题探讨 25
5.1 光伏发电并网的经济性问题 25
5.2 解决方案 26
5.3小结 27
第六章 总结与展望 28
6.1 总结 28
6.2 展望 28
参考文献 30
致 谢 32
绪论
研究背景与意义
1.1.1研究背景
能源是一切发展的基础。在当今世界,煤炭,石油,天然气,铀和其他能源的消耗量继续增加。同时,各发展中国家的工业化进程不断加快,这必然导致能源消耗的增加,这也会加速全球能源消耗的速度。煤炭,石油,天然气,铀等能源的消耗伴随着日益严重的生态破坏和环境污染,上述的这些因素都严重制约了世界各国的持续发展[1]。
能源是社会生产力的快速发展,并始终起着决定性的作用。 在从十九世纪到二十世纪的时间里,世界人口只有15%的发达国家实现了工业化,现代化和智能化“三化”。这个过程中消耗的能源占世界能源消耗的一半以上。随着发展中国家纷纷进入“三化”,世界对能源的需求将更大。目前,根据调查估计,表1.1中列出了世界上已被证实的各类能源储存量和相应的可采矿年份。
表1.1 全球已探明能源储量与可供开采年限表
如表所示,煤矿、石油、天然气等各类能源的储藏总量均已呈现出告急的态势。若仅考虑我国国情,则态势会更加严峻。图1.1是中国与世界各主要能源所剩余总量及其可供使用年限的对比图。
图1.1 我国与世界重要能源储量年限
据统计,仅2014年中国能源消耗为 42.5806亿吨标准煤,如图1.2 (a)所示:煤炭仍是我国能源消耗的主要形式,占能源总消耗量的66%,其它清洁能源如核电、水电和可再生能源利用率较低;相比较于世界能源消耗量,我国一次能源消耗比重高于世界平均水平,受能源分布影响,我国石油消耗量远低于其它国家,而煤炭使用量远超世界平均水平。对比图1.2 (a)、(b)可知:我国能源结构与世界能源消耗结构相比差异较大,具有一定的调整空间。

图1.2(a)我国可再生能源占比图 (b)世界可再生能源占比图
因此,寻找新的能源利用方式已经得到世界各国的认可,并且已经付诸实施。在此背景下,太阳能光伏发电,风力发电,生物质发电等可再生能源应运而生。其中,太阳能光伏电池的发电越来越成为传统火力发电的不可替代的发电替代品。太阳能光伏发电考虑到其环境保护和经济重要性。在全球范围内,中小型太阳能光伏发电也形成了一定的规模和产业化,具有一定的应用前景和巨大的发展空间。其中,光伏发电部分设置为微电网系统,然后连接到大型系统连接到电网进行运行,作为强大的支持电源之一这是提高光伏发电效率,规模和稳定性的重要技术途径[2]。同时,光伏并网发电的运行将大大增加光伏发电的灵活性和使用。综上所述,目前光伏发电技术的发展方向是将光伏发电部分连接到大规模系统并行运行[3]。
从当前全球社会环境的角度来看,煤炭等化石燃料的长期燃烧带来的后果是将人类带入难以生存的气候和环境。 因此,减少能源需求如煤炭是不可避免的。 另一方面,生态破坏,环境污染等日益严重的问题也促使我们探索和开发其他有效能源。 例如,人类发病率和疾病类型的增加,饮用水的污染,粮食生产的减少以及空气质量的恶化都阻碍了该国的正常发展。 如何合理有效地利用和发展能源,同时确保社会可持续发展[4-5]已成为中国和其他国家的一个紧迫问题。
光伏并网系统的工作原理是跳过电池储能链路,直接通过变压器和逆变器改变电网所需的电源,然后输入大电网。与光伏发电独立系统相比,有效地节省了光伏发电并网系统的电池安装,减少了储能和释放过程。其能耗较低,占用空间较小,提高了配置的灵活性和经济性。由于其可再生性,无污染性和其他特性与常规能源的特性有很大不同,因此光伏并网系统正变得越来越流行。并网,独立和混合光伏发电已经在不同国家和地区准备或投入使用[4]。另一方面,由于并网光伏发电,光伏并网系统建设快,政策支持力强,灵活性高。低投入和后续投入的特点常常用于发达国家的政府电网和节能案例。太阳能发电已成为21世纪最有前途的清洁新能源利用技术。
1.1.2研究意义
近几年在新能源发电并网领域,光伏发电技术发展较为迅猛。每年光伏新增装机容量的增长率都有所提升,受我国太阳能资源和负荷分布特性的限制,光伏发电主要采取“分散开发、低压就地接入”与“大规模集中开发、中高压接入”并行的发展方式。规模化光伏并网发电与分布式光伏并网发电相比,可以方便地进行无功和电压控制,同时也更容易地参与到电网频率调节中。随着国家对规模化光伏发电应用的持续支持和推动,规模化光伏发电已成为太阳能发电的主要发展方式之一。
光伏发电具有波动性和间歇性,输出功率不确定性程度高,调节难度大。因此,光伏发电占较大比重的电力系统就需要配置较高的旋转备用。光伏发电的接入导致系统潮流变化频繁,系统保护配置和电压调整比较困难,给系统安全稳定运行带来了较大的挑战。从电网方面考虑,光伏发电并网系统同常规发电方式的不同之处在于:电池板发出的直流电通过电力电子转换器件的离散操作,逆变后成为交流电并入电网,所以大量光伏电站的接入,会对传统电网的电能质量、潮流状况、继电保护、规划设计、调度运行等多方面产生影响。因此,本文的研究意义在于对我国光伏大规模并网的可行性以及实用性进行分析,通过仿真模拟研究不同光伏渗透率下并网对电力系统稳定性的影响,意在研究不同光伏渗透率下并网系统处于正常运行、小扰动、大扰动等状态时的区别,并提出相应的失稳应对措施。希望能够通过本文的研究对我国光伏发电并网发展乃至于我国环保事业能出一份力。
1.2国内外光伏发电研究现状
根据应用场合的不同,一般可以将光伏系统分为独立供电系统和光伏并网系统两种类型。过去,光伏系统主要直接为偏远山区和无电地区的负荷供电,而且以家庭用及村庄用的中小系统居多,这些系统都属于独立供电系统。近年来,光伏并网系统由于具有以下的诸多优点而受到越来越多的重视
(1)依托于大电网,可以很容易地保证供电质量和稳定性。
(2)光伏阵列所发的全部电能可由大电网全部接纳,这样光伏阵列的工作点可以始终保持在最大功率点处,进而提高了光伏阵列的发电效率。
(3)光伏并网分为可调度式和不可调度式。不可调度式的光伏并网系统不包含作为储能环节的蓄电池。这样不但减少了在蓄电池充放电过程中的能量损失,而且还免除了储能环节的运行成本和维护开销,同时也避免了废弃蓄电池带来的环境污染。经过多年的研究和实践,光伏并网发电技术已逐步走向成熟,并得到越来越多的重视和应用。
1.2.1 国内光伏发电研究现状
光伏产业在我国起步虽然较晚,但是国内的光伏产业发展十分迅速,如表1.2所示 在国家能源局,国家发展和改革委员会和资金投入的指导下,光伏并网能力实现了快速增长。
2013年,光伏发电累计装机容量接近10GW,其中并网光伏容量达到3GW。同年,江苏光伏并网容量达到200万兆瓦,居全国首位。其他省份也不甘示弱。特别是在欧美逐步取消“双反”政策的背景下,光伏并网系统进入快速发展时期。
表1.2 我国光伏产业发展历程
以上是毕业论文大纲或资料介绍,该课题完整毕业论文、开题报告、任务书、程序设计、图纸设计等资料请添加微信获取,微信号:bysjorg。
相关图片展示:







课题毕业论文、开题报告、任务书、外文翻译、程序设计、图纸设计等资料可联系客服协助查找。
