家用电动汽车充电负荷需求模型分析毕业论文
2020-04-12 09:04:23
摘 要
随着科技的发展,电动汽车已经成为了一种新的交通工具,与燃油汽车相比,无论在节能还是环保方面,电动汽车都具有无可比拟的优势。然而,电动汽车用户的充电行为通常是无序的,在充电时间上具有不确定性。大量电动汽车同时充电对电网来说是一种巨大的挑战,所以需要预测出电动汽车的充电负荷,采取有效措施来减少其对电网的不利影响。
本文以家用电动汽车为研究对象,从家用电动汽车充电负荷的影响因素出发,分析了家用电动汽车充电负荷的几个主要影响因素,并对其中之一的起始充电时间与日行驶里程进行了数学建模。然后预测了家用电动汽车的保有量,以充电负荷模型与家用电动汽车的保有量为基础,采用蒙特卡洛法随机抽取起始充电时间与日行驶里程,并用Matlab软件进行模拟仿真,得到了家用电动汽车日充电负荷曲线。
最后对家用电动汽车用户无序充电行为进行了改善,制定了优化充电策略。将优化前后的充电负荷曲线进行对比,分析结果表明:优化后不仅充电负荷的峰值降低了,而且峰谷差也减少了许多,使得配电网负荷更加平衡,优化后的效果十分明显。
关键词:家用电动汽车;充电负荷模型;负荷预测;模拟仿真;优化充电策略
Abstract
As a new type of vehicle, electric vehicles have obvious advantages in terms of energy saving and environmental protection compared with fuel vehicles. However, the charging behavior of electric vehicle users is usually disordered, and there is uncertainty in charging time.The charging of a large number of electric vehicles into the network will have a huge impact on the power grid. Therefore, it is necessary to predict the charging load of electric vehicles and take effective measures to reduce their adverse effects on the power grid.
This article focuses on household electric vehicle,Starting from the influencing factors of the charging load of household electric vehicle,Analyzed several major influencing factors of the charging load of household electric vehicle,and one of them was mathematically modeled for the starting charging time and the daily mileage.Then predict the number of household electric vehicle,Based on the model of the charging load and the amount of possession of household electric vehicle,Using Monte Carlo method to randomly select the initial charging time and daily mileage,And using Matlab software for simulation,Finally get the daily charging curve of household electric car.
Finally, the disordered charging behavior of household electric vehicle users has been improved,and formulate an optimized charging strategy. Compare the charge curve before and after optimization,the results show:After the optimization, not only the peak value of the charging load is reduced, but also the difference between peaks and valleys is reduced, making the distribution network load more balanced, and the effect after optimization is very obvious.
Keywords: Household electric vehicle; charging load model; load forecasting; simulation; optimization of charging strategy
目录
第1章 绪论 1
1.1 研究背景及意义 1
1.2 国内外研究现状 2
1.2.1 电动汽车保有量预测研究现状 2
1.2.2 电动汽车充电负荷预测研究现状 2
1.3 本文的主要研究内容 3
第2章 家用电动汽车充电负荷模型 4
2.1 电动汽车分类 4
2.1.1 纯电动汽车(BEV) 4
2.1.2 混合动力汽车(HEV) 5
2.1.3 燃料电池汽车(FCEV) 5
2.2 家用电动汽车充电负荷的影响因素 5
2.2.1 家用电动汽车保有量 5
2.2.2 家用电动汽车充电时间 6
2.2.3 家用电动汽车的充电模式 6
2.2.4 家用电动汽车的续航里程 7
2.3 家用电动汽车充电负荷建模 7
2.3.1 家用电动汽车的起始充电时间 7
2.3.2 家用电动汽车的日行驶里程 10
2.3.3 家用电动汽车的充电频率 11
2.4 本章小结 12
第3章 家用电动汽车充电负荷预测 14
3.1 蒙特卡洛方法简介 14
3.2 家用电动汽车充电负荷计算方法 14
3.2.1 家用电动汽车充电负荷计算模型 14
3.2.2 基于蒙特卡洛模拟的充电负荷计算流程 15
3.3 算例分析 17
3.4 本章小结 18
第4章 家用电动汽车充电负荷模型优化 20
4.1 家用电动汽车的优化充电策略 20
4.2 优化充电策略下的负荷分析 22
4.3 优化模型小结 27
4.4 本章小结 28
第5章 总结与展望 29
5.1 总结 29
5.2 展望 29
参考文献 31
致谢 33
第1章 绪论
1.1 研究的背景及意义
能源问题是世界各国都无法规避的问题,同时能源也是推动人类文明进步的源动力。人类的生存离不开能源,然而我国在改革开放以来面临着一系列的能源缺乏问题,社会生产力的进步必然会导致能源供应紧张。随着我国城镇化进程的不断推进,能源需求持续增长,能源供需矛盾也越来越突出,开发新能源和可再生能源是我国迫在眉睫的问题。
经历了50多年的建设与发展,我国汽车企业终于建立起自主发展的汽车企业体系。随着技术的进步以及国民生活质量的提高,我国的汽车产量稳居全球第一。大量的汽车生产必然会产生严峻的能源问题与环境污染问题。汽车尾气的大量排放不仅会影响空气质量,引发城市大范围雾霾问题,而且汽车尾气中的有毒气体被人体吸入之后会引发各种疾病,危害人类健康。汽车数量的增加加大了石油的需求量,目前我国已经成为世界上最大的石油进口国。在能源与环境的压力下,我国汽车工业需要寻找新的方向。
新能源汽车分为纯电动汽车、混合动力汽车和燃料电池汽车三种类型。由于新能源汽车具有节能减排的优势,我国政府非常关注新能源汽车行业的发展。2012年国务院出台了《节能与新能源汽车产业发展规划(2012―2020年)》,明确地提出了新能源汽车行业具体的产业化目标:到2015年,纯电动汽车和插电式混合动力汽车累计产销量能够突破500000辆;到2020年,这一数据将达到5000000辆。之后,国家接连制定了配套补贴和优惠政策,如《关于进一步做好新能源汽车推广应用工作的通知》(2014年)、《关于加快新能源汽车推广应用的指导意见》(2014年)、《关于电动汽车用电价格政策有关问题的通知》(2014年)、《关于免征新能源汽车车辆购置税的公告》(2014年)、《电动汽车充电基础设施发展指南(2015-2020年)》(2015年)、《关于2016-2020年新能源汽车推广应用财政支持政策的通知》(2015年)等, 这些政策以车辆购置补贴政策为主,包括全国范围内的车辆购置税减免、政府及公共机构采购、扶持性电价、充电基础设施建设支持等,全方位大力扶持新能源汽车行业。
从国际能源机构(IEA)的预测结果可知,各种类型的电动汽车的数量正在逐渐增加。据中国汽车工业协会公布的最新数据显示,截至2017年11月底,我国新能源汽车保有量达1700000辆。到2050年纯电动汽车和混合动力汽车的全球销量可能达到每年一亿辆以上[1]。而中国作为全球第一大汽车市场,需要巨大的化石能源,为了解决能源危机问题以及减少对化石能源的依赖,发展电动汽车行业刻不容缓。据国外研究资料显示,电动汽车的发展目前正处在一个瓶颈阶段,目前使用的电池容量小、重量大、充电难而且成本较高,电动汽车续航里程短,操作起来也比较费劲。如果这些问题得以解决,我相信电动汽车的普及会像电脑与智能手机一样,以迅雷掩耳之势占领市场。
电动汽车是电网的组成部分之一,也是实现低碳化交通的重要条件。随着中国电动汽车行业的发展,充电负荷将影响着电网的运行与规划。由于充电负荷的峰谷差都比较明显,只有准确地预测电动汽车充电负荷,才能分析出电动汽车充电对电网的影响。因此,预测电动汽车充电负荷对电力系统的运行与规划具有重要意义。
1.2 国内外研究现状
以上是毕业论文大纲或资料介绍,该课题完整毕业论文、开题报告、任务书、程序设计、图纸设计等资料请添加微信获取,微信号:bysjorg。
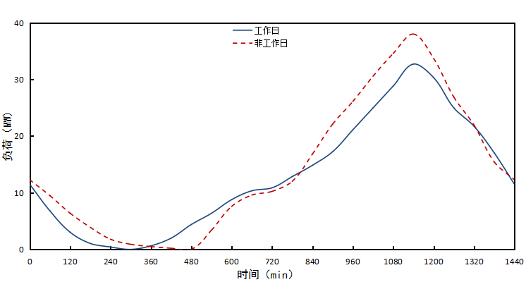
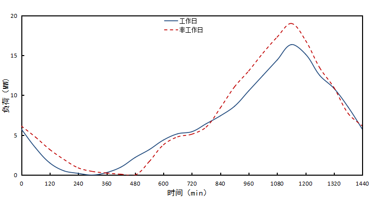
相关图片展示:







课题毕业论文、开题报告、任务书、外文翻译、程序设计、图纸设计等资料可联系客服协助查找。
