不同煅烧制度下制备氧化镁对硅酸盐水泥膨胀性能的影响毕业论文
2020-04-18 20:02:20
摘 要
本研究是通过煅烧菱镁矿来制备氧化镁的,然后将氧化镁掺杂到水泥浆体中,利用其水化体积膨胀的特点,来补偿混凝土的体积收缩,从而延缓甚至阻止混凝土的收缩开裂。目前氧化镁水化机理还没有被人们完全的掌握,不同环境和水泥的品种对于其水化都有影响。本课题主要研究了在900℃,1000℃,1100℃,1200℃,1300℃,1400℃和1450℃下煅烧制得的氧化镁膨胀剂,分别按照3%,5%和8%的配比添加到低热硅酸盐水泥中制备样品,然后分别置于20℃,30℃和80℃的水中养护,研究此过程不同煅烧温度,氧化镁掺杂量和养护温度对低热硅酸盐水泥的膨胀性能的影响,并探究其相应的膨胀机理。
关键词:氧化镁膨胀剂 膨胀性能 膨胀机理
Effect of Magnesium Oxide Preparation on Expansion Performance of Silicate Cement under Different Calcination Systems
Abstract
In this study, magnesium oxide was prepared by calcined magnesite, then magnesium oxide was doped into the cement slurry, and its hydration volume expansion was used to compensate for the volume shrinkage of concrete, thus delaying or even preventing the shrinkage and cracking of concrete. At present, the hydration mechanism of magnesium oxide has not been fully mastered by people, and different environment and cement varieties have influence on its hydration.
This paper mainly studies the magnesium oxide expander prepared by calcination under 900℃,1000℃,1100℃,1200℃,1300℃,1400℃ and 1450 ℃, which is added to low heat silicate cement according to the ratio of 3%,5% and 8% respectively, and then placed in 20 ℃ respectively, 30 ℃ and 80 ℃ water conservation, the effects of different calcination temperature, magnesium oxide doping and curing temperature on the expansion performance of low-heat silicate cement were studied, and the corresponding expansion mechanism was investigated.
Key words: Magnesium Oxide expansion agent; Expansion character; Expansion mechanism
目录
摘要I
ABSTRACTII
- 绪论1
1.1 引言1
1.2氧化镁膨胀剂的发展2
1.2.1膨胀剂的起源2
1.2.2氧化镁膨胀剂的起源3
1.3氧化镁膨胀剂的膨胀机理3
1.4影响氧化镁膨胀剂膨胀性能的因素5
1.4.1煅烧温度的影响5
1.4.2氧化镁掺量对水泥膨胀性能的影响6
1.4.3养护温度对水泥膨胀性能的影响7
1.5氧化镁膨胀剂的制备7
1.6研究目的与研究意义8
1.6.1研究的内容和目的8
1.6.2研究的意义8
第二章 实验方法10
2.1 实验药品与仪器10
2.2 原材料11
2.3氧化镁在水泥浆体中水化13
2.3.1 原材料的破碎处理13
2.3.2 煅烧13
2.3.3 粉磨14
2.3.4粒度分析14
2.3.5 配比及混料15
2.3.6 成型16
2.3.7 脱模养护及测量膨胀17
第三章 结果分析与讨论18
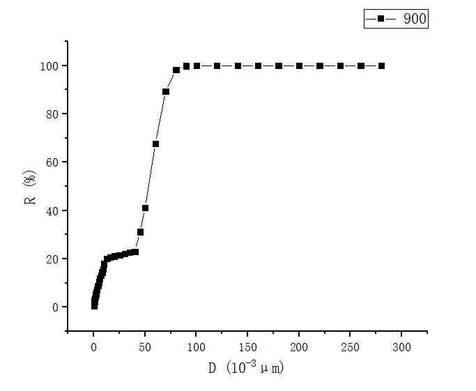
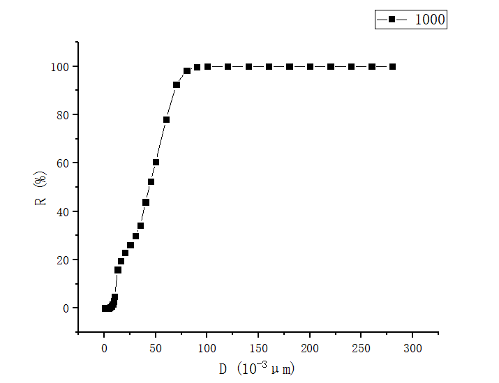
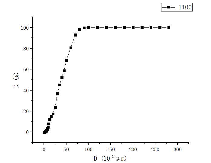
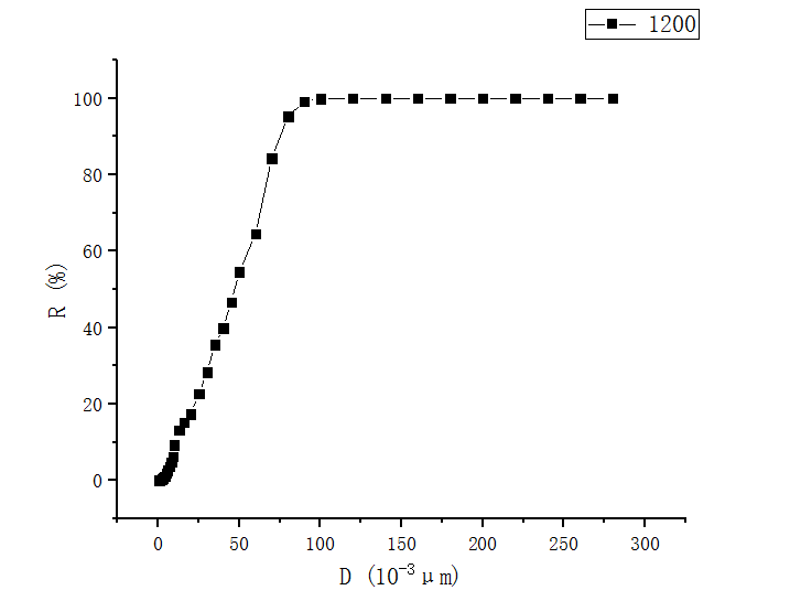
3.1 粒度分析18
3.2 掺氧化镁水泥浆体膨胀性能分析20
3.2.1 养护温度为20℃20
3.2.2 养护温度为30℃21
3.2.3 养护温度为80℃21
3.3 SEM分析23
第四章 结论和展望27
4.1 结论27
4.2 展望27
参考文献29
致谢31
第一章 绪论
1.1引言
时代在进步,科技在发展,我们国家的很多技术也日益的成熟,但是水泥混凝土这类材料,无论在国防建设还是房屋等民用建筑中仍然是主导材料。从普通的民房建筑到三峡大坝和海洋工程,混凝土都是不可缺少的材料。混凝土给人们生活带来保障的同时,混凝土开裂带来的建筑损坏一直是一个令人头疼的问题。
水泥浆体浇筑后发生水化反应的过程中会产生热量。在开始的时候,这个水化放热反应放出的热量造成了混凝土内部温度的升高。但是随着时间的延长,在混凝土的内部,温度会下降,在这个降温过程中会产生收缩的现象。温降收缩的现象使得混凝土内部结构受到约束,就会在混凝土的内部形成很大的拉应力,当拉应力大到一定的程度,就会超过混凝土的抗拉强度,这个时候混凝土就会发生开裂[1]。
为了延缓甚至阻止混凝土的开裂,我们可以在水泥中添加膨胀剂[2],一种在膨胀水泥的基础上,通过不断发展形成的混凝土外加剂。这种通过添加外加剂的方式阻止水泥收缩开裂的方式属于“外掺”。目前MgO掺杂到水泥中除了“外掺”的方式,还有一种“内含”的方式(提高水泥生料中的氧化镁的含量)[3]。本课题研究的氧化镁对水泥膨胀性能的影响用的掺杂方式就是外掺MgO到水泥浆体中。
常用的膨胀剂按照其化学组成可分为钙矾石类、 氧化镁类、氧化钙类、氧化铁类和复合型膨胀剂[4]。人们通过对这些膨胀剂的研究,发现在这些膨胀剂中,氧化镁膨胀剂的优点最多,氧化镁膨胀剂具有水化过程中需水量少[5](空气中水分很低情况下也可以水化)、水化的产物性质稳定、膨胀的过程可调控等优点 [6]。氧化镁膨胀剂在水泥浆体中发生的水化反应会产生氢氧化镁,从而导致水泥浆体体积膨的,水泥浆体的膨胀程度受到氧化镁膨胀性能的影响,主要包括水泥浆体膨胀的开始时间、稳定时间、终止时间,还有膨胀过程中水泥浆体膨胀的速率和程度 [7] ,这些都和氧化镁的反应活性有关。但是追根溯源,还是氧化镁膨胀剂制备过程中的煅烧温度影响了氧化镁内部的微观结构[8],然后其内部微观结构决定了其反应活性。
目前很多的研究都是通过控制氧化镁膨胀剂的制备温度,从而探索氧化镁的活性以及膨胀性能。虽然目前氧化镁膨胀剂可以起到补偿水泥浆体收缩,抑制其开裂的效果已经被大多数人知道,但是氧化镁膨胀剂在水泥浆体中如何膨胀,膨胀机理和膨胀过程是否可以控制调节等人们还没有完全的掌握。氧化镁的活性对于氧化镁的膨胀性能起到至关重要的影响,但是在混凝土中掺杂的氧化镁的量以及养护的温度也会影响膨胀剂补偿收缩的程度,如果养护温度过高,掺杂的氧化镁过多,有可能会给混凝土带来负面的影响,甚至是损害。过去的很多研究[9-10]发现如果水泥浆体中氧化镁水化反应得不到限制,最后会导致水泥浆体体积一直膨胀,最后变的疏松溃散没有强度。这里氧化镁水化得不到限制的原因,笔者认为是因为水泥浆体中氧化镁的掺杂量过多和水养护的温度偏高,影响了水泥浆体中氧化镁的水化的程度和速率,最后给水泥安定性带来负面的影响,导致水泥浆体的疏松和破损。所以针对这个问题,我们要想利用氧化镁水化发生体积膨胀这个特点来补偿混凝土的收缩,就要知道煅烧温度对氧化镁活性的影响,还要考虑氧化镁的掺杂量和不同养护温度下给水泥浆体中氧化镁膨胀性能带来的影响。
1.2氧化镁膨胀剂的发展
1936年,Lossier发明膨胀水泥以后,世界上各个国家的研究者就开始大量研究如何利用水泥膨胀来补偿混凝土收缩。
1.2.1膨胀剂的起源
最早研究混凝土膨胀剂的是日本的研究者们[11],他们然后研究出的硫铝酸钙膨胀剂,这算是最早的水泥膨胀剂。这种方法是利用外掺的方式去提高水泥浆体中某些组分的含量,通过这些组分水化后发生膨胀去补偿水泥浆体的收缩。与此同时,美国,俄罗斯,英国等国家也逐渐的开始了对混凝土膨胀剂的研究,膨胀剂进入中国研究人员的视野,是在上个世纪70年代。
1.2.2氧化镁膨胀剂的起源
不同的水泥产品对同一种水泥膨胀剂的膨胀效果会起到不同的影响[12],这是因为不同的水泥产品中组分种类和量的不同,对同一种水泥膨胀剂的水化过程产生影响。所以为了寻找适合不同水泥产品的水泥膨胀剂,就要对不同类型膨胀剂的水化过程进行探究。从Lea研究发现MgO含量过高会对水泥浆体的安定性带来负面的影响到德国Cassel大楼中氧化镁含量过高导致大楼重建开始,氧化镁膨胀剂逐渐进入了人们研究的视野 [13]。在后来的研究中人们发现水泥中存在大量的游离态MgO,如果游离的氧化镁的量过大,那么水泥浆体发生膨胀的体积就会得不到限制,从而导致混凝土的损坏。在上世纪70年代,我国专家们对吉林省白山大坝进行现场观察和测定时发现[14],由于水泥中含有大约5%的MgO,这些MgO水化能产生氢氧化镁,具有延迟膨胀的特点,同时发现这个含量的MgO很好地补偿了大坝降温时产生的体积收缩,使得大坝裂缝得到了很好控制。从此以后,氧化镁作为膨胀剂应用到水泥中的研究开始得到了广泛的关注。在中国工程院院士唐明述教授和一大批水泥行业的研究人员的不懈努力下,从80年代后期膨胀剂的研究趋于稳定,到如今MgO膨胀剂在混凝土中的各种应用,MgO水泥膨胀剂成为了防止大体积混凝土开裂措施中的一个重要的研究方向。
1.3氧化镁膨胀剂的膨胀机理
不同煅烧制度制备的氧化镁和氧化镁的掺杂量对水泥浆体体积收缩的补偿各不相同,同时养护温度等也对补偿水泥浆体收缩带来了影响。我们如果想通过氧化镁膨胀剂去补偿水泥浆体的收缩,那么在这些条件下水泥浆体中氧化镁膨胀剂的膨胀机理必须搞清楚,可是由于氧化镁在水泥浆体中水化机理过于复杂,很多现象并没有得到合理的解释。目前,可以知道的是氧化镁型膨胀剂是通过水化反应产生体积的膨胀去补偿水泥浆体的收缩,从而达到阻止其开裂的。当把氧化镁掺入水泥浆体中进行水养时,氧化镁水化生成了膨胀性的晶体,增加了水泥浆体中晶体的含量,降低了混凝土的孔隙率,使水泥浆体更加的致密化。这个过程中水泥浆体会产生微膨胀,其内部产生了预应力,水泥浆体体积收缩时的收缩应力会被抵消一部分,所以水泥浆体原本收缩开裂的趋势就会被阻止。目前水泥浆体膨胀机理主要存在这几种假设:固相反应理论、吸水肿胀理论、结晶生长压理论等。
以上是毕业论文大纲或资料介绍,该课题完整毕业论文、开题报告、任务书、程序设计、图纸设计等资料请添加微信获取,微信号:bysjorg。
相关图片展示:







课题毕业论文、开题报告、任务书、外文翻译、程序设计、图纸设计等资料可联系客服协助查找。
